DABIREMCO Your needs, our priority!
  • Home
  • About Us
      • DABIREMCO
      • Profile of DABIREMCO
      • Mission
      • Vision
      • Values (DABIREMCO CARES)
      • Objectives and Goals
      • Organizational Structure
      • Officers
      • Reports
      • 2019 Management Report
      • 2021 Management Report
      • Resolutions
      • 2019 Board of Resolution
      • 2020 Board of Resolution
      • 2021 Board of Resolution
      • 2019 Summary of Resolution
  • Policies
      • Policy on Personnel Management
      • Policy on Mutual Assistance (DAYONG)
      • Articles of Cooperation
      • By-Laws
      • Code of Ethics
      • Accounting Manual
      • Internal Audit Policy
      • Implementation Guideline For Conciliation-Mediation
      • Succession Plan
      • Credit Policy v. 2019
      • Savings and Time Deposit Policy
      • Asset Preservation Plan
      • DABIREMCO CASA
      • DABIREMCO Risk Management Manual
      • DABIREMCO Risk Register
      • DABIREMCO Business Continuity Plan
      • Election Guidelines
      • Employees Performance Evaluation
      • Employees Retirement Plan
      • Hospitalization Benefits
  • Financials
    • Financials - 2019
    • Annual Report 2019
    • Budgeted Statement of Operations - 2020
    • Management Report - 2020
  • Activities/Events
  • Ethics
    • Ethics Committee Report - 2020 General Assembly
  • Gallery
  • Video
  • GAD
    • Gender and Development (GAD) Policy
    • Online Survey Questionaire
    • Sex Disaggregated Survey Result 2019
    • Sex Disaggregated Survey Result 2022
    • GAD Accomplishment Report 2019
    • GE Workplace Webinar Report - 2023
  • Voting System
  • Downloads
  • Contact Us
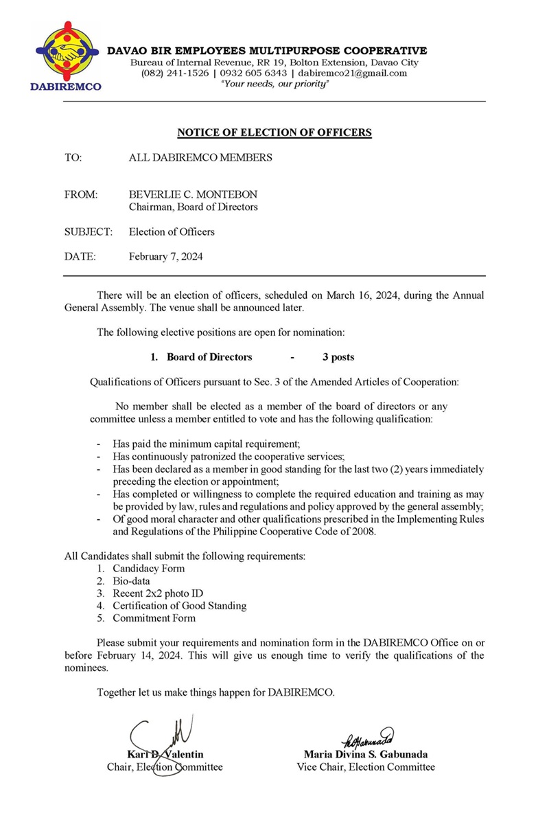
DABIREMCO - GENERAL ASSEMBLY
8:00 am Saturday, March 16, 2024

Theme: "DABIREMCO: Building the Future Together to Inspire, Integrate and Innovate"


Click here to view the MEMBERS IN GOOD STANDING (MIGS)



CDA APPROVED


Click here to view the Board Resolution 2023


AUDITED FINANCIAL STATEMENT (AFS)

MANAGEMENT REPORT

TREASURER'S ANNUAL REPORT

COMMITTEE REPORTS

ASSOCIATE MEMBERSHIP COMMITTEE

CREDIT COMMITTEE

AUDIT & INVENTORY COMMITTEE

ETHICS COMMITTEE

MEDIATION AND CONCILIATION COMMITTEE

EDUCATION AND TRAINING COMMITTEE

INVESTMENT COMMITTEE

ELECTION COMMITTEE

DATA MANAGEMENT COMMITTEE

---- NOTHING FOLLOWS ----

Your Needs, Our Priority!

Contact us

  • dabiremco21@gmail.com
  • (082) 224-1526

Address

  • BIR Bldg., Bolton Ext., Davao City 8000

Visitors

hit counter

    DABIREMCO Your needs, our priority!

DABIREMCO values your privacy and trust. This office adheres to the principles of Data Privacy Act of 2012 (RA 10173)

© 2019 DABIREMCO. All Rights Reserved.